|
|
|
texto produzido
por Marcelo S. Motitsuki
Todos os direitos autorais reservados AutoSom.net http://autosom.net |
| 18/04/2006 - Corrigida explicação de OITAVA. Corrigido valor de atenuação nas oitavas a partir de fc. 29/06/2008 - Corrigido fórmula do cálculo de Tensão RMS (valor multiplicado por 0,707) |
| 1a ordem | atenuação de 6dB/oitava |
| 2a ordem | atenuação de 12dB/oitava |
| 3a ordem | atenuação de 18dB/oitava |
| 4a ordem | atenuação de 24dB/oitava |
| ... | ... |
![]() ![]() |
![]() ![]() |
| Passa-baixa de 1a ordem (6dB/oitava) | Passa-baixa de 2a ordem (12dB/oitava) |
Frequência de corte e desvio de fases
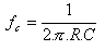
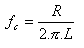
Para saber em que frequência fazer o corte nos crossovers de falantes médios e agudos, basta verificar com o fabricante qual a frequência de ressonância, sabendo este valor, o corte do crossover deve estar a no mínimo uma oitava acima, isto é, acima do dobro da frequência de ressonância para evitar alteração no som nessa faixa de atuação do falante.
Para cada ordem do crossover, isto é, para cada 6dB/oitava, as fases dos falantes ficam afastados em 90 graus, portanto é normal e correto que num crossover de 12dB/oitava, o tweeter seja ligado invertido.

No alto, um capacitor Bipolar e os outros, capacitores eletrolíticos
O capacitor ou condensador
tem a propriedade de aumentar sua impedância gradativamente para valores
abaixo de sua frequência de corte, isto é, vai bloqueando as frequências
baixas deixando passar as frequências acima de sua fc (frequência
de corte). O valor nominal dos capacitores são expressos em Faraday ou pela letra 'F'.
Para uso em sinais de áudio aonde a forma de onda é alternada (varia de uma
tensão positiva até uma tensão negativa) é necessário o uso de capacitores despolarizados.
Capacitores eletrolíticos, que são polarizados, explodem quando submetidos
a tensões negativas. Mas muitas vezes você tem a mão somente capacitores
eletrolíticos, então saiba
"despolarizá-los",
basta ligar os terminais negativos de dois capacitores eletrolíticos iguais
e use os terminais positivos para interligar o amplificador e o alto-falante,
veja a figura ao lado. Agora você tem um capacitor "despolarizado" mas com metade do valor! Ex: ligando dois capacitores eletrolíticos de 220uF em série (terminal
negativo com negativo) você terá um equivalente de 110uF.
Como você pode observar,
ligando 2 capacitores em série (como na figura acima), o equivalente é a metada deles e a fórmula geral é:
1/Ceq = 1/C1 + 1/C2 + 1/C3 + ...
ou simplificando:
1/Ceq = (C1+C2)/(C1*C2)
Ceq = (C1*C2)/(C1+C2)
ou quando utilizado
2 valores iguais:
Ceq = C/2 (onde C é o
valor de um dos 2 capacitores de igual valor)
A tensão suportada resultante de uma associação série será a mínima tensão dos capacitores. Isto é, se associar dois capacitores de 25 Volts, a tensão máxima suportada pelo conjunto será 25Volts.
Capacitores em paralelo
A Associação de capacitores
em paralelo, resulta na soma das capacitâncias, nesse caso, deve-se tomar
cuidado em ligar positivo com positivos e negativos com negativos:
Ceq = C1 + C2 + C3 + .....
Mas este método não
serve para som aumotivo, uma vez que precisamos de capacitores despolarizados.
A associação de
capacitores não altera a ordem do crossover, isto é, sempre um
filtro composto somente por um capacitor ou um conjunto deles, será de 6dB/oitava.


|
falantes:
|
|
|
|
| Frequência (Hertz) | L | L | L |
| 80 | 8.2mH | 4.1mH | 16mH |
| 100 | 6.2mH | 3.1mH | 12mH |
| 125 | 5.0mH | 2.5mH | 10mH |
| 150 | 4.0mH | 2.0mH | 9.0mH |
| 200 | 3.5mH | 1.6mH | 6.8mH |
Esse tipo de circuito é o mais simples dentro da classe de filtro passa-baixa sendo considerados de 1a ordem com atenuação de 6dB/oitava. Um crossover passa-baixa de 2a ordem pode ser esquematizado da seguinte forma.

| Frequência | 4 ohms | 2 ohms | 8 ohms | |||
| Hertz | L | C | L | C | L | C |
| 80 | 11mH | 330uF | 5.6mH | 700uF | 22mH | 180uF |
| 100 | 9mH | 270uF | 4.5mH | 550uF | 18mH | 135uF |
| 125 | 7mH | 220uF | 3.5mH | 450uF | 14mH | 110uF |
| 150 | 6.0mH | 180uF | 3.0mH | 375uF | 12mH | 90uF |
| 200 | 4.5mH | 140uF | 2.3mH | 281uF | 9mH | 70uF |
| 260 | 3.5mH | 100uF | 1.7mH | 220uF | 7mH | 50uF |
| 400 | 2.2mH | 70uF | 1.1mH | 140uF | 4.5mH | 35uF |
| 600 | 1.5mH | 50uF | 0.75mH | 100uF | 3.0mH | 25uF |
| 800 | 1.0mH | 33uF | 0.56mH | 68uF | 2.0mH | 15uF |
| 1000 | 0.9mH | 27uF | 0.45mH | 55uF | 1.8mH | 13uF |
| 1500 | 0.6mH | 18uF | 0.3mH | 36uF | 1.2mH | 10uF |
| 2000 | 0.45mH | 14uF | 0.22mH | 28uF | 0.9mH | 7uF |
| 3000 | 0.3mH | 10uF | 0.15mH | 19uF | 0.6mH | 4.6uF |
| 4000 | 0.225mH | 7uF | 0.11mH | 14uF | 0.45mH | 3.5uF |
| 5000 | 0.18mH | 5.6uF | 0.09mH | 10uF | 0.36mH | 2.8uF |
| 6000 | 0.15mH | 4.6uF | 0.075mH | 9.3uF | 0.30mH | 2.3uF |
| 8000 | 0.11mH | 3.5uF | 0.056mH | 7uF | 0.25mH | 1.7uF |
| 10000 | 0.09mH | 2.8uF | 0.045mH | 5.6uF | 0.18mH | 1.4uF |


|
falante:
|
|
|
|
| Frequência (Hertz) | C | C | C |
| 100 | 400uF | 800uF | 200uF |
| 125 | 320uF | 640uF | 160uF |
| 150 | 260uF | 530uF | 130uF |
| 200 | 200uF | 400uF | 100uF |
| 260 | 150uF | 300uF | 75uF |
| 400 | 100uF | 200uF | 50uF |
| 600 | 70uF | 140uF | 35uF |
| 800 | 50uF | 100uF | 25uF |
| 1000 | 40uF | 80uF | 20uF |
| 1500 | 25uF | 50uF | 13uF |
| 2000 | 20uF | 40uF | 10uF |
| 3000 | 13uF | 25uF | 6.6uF |
| 4000 | 10uF | 20uF | 5uF |
| 5000 | 8uF | 16uF | 4uF |
| 6000 | 6.6uF | 13uF | 3.3uF |
| 8000 | 5uF | 10uF | 2.5uF |
| 10000 | 4uF | 8uF | 2uF |

Para saber qual a tensão, devemos saber a potência aplicada ao alto-falante, bem como a impedância nominal do falante.
Vamos utilizar a fórmula de potência para saber a tensão sobre o falante.

P = Potência
V = Tensão de pico
R = resistência do falante
Vrms = Tensão RMS equivalente a uma Tensão Contínua
Por exemplo: um amplificador que fornece 100W para falante de 4 Ohms nominal (Re=3.6 Ohms Resistência DC).
Tensão de pico = 18,97 Volts
Tensão RMS = 13,41 Volts
Você precisará de capacitores que suportem 13 Volts. Mas vamos utilizar 100% de margem de erro, portanto, capacitores de aproximadamente 25 Volts.
( mais sobre tensão RMS no wikipedia, clique aqui)


Crossover passivo
de 3 canais
Crossover
Passivo vs. Ativo
Filtro passivo é o filtro constituído somente de componentes discretos (capacitores, indutores, resistores) que não necessitam de fonte de alimentação externa sendo passível de perda da potência fornecida e capaz de trabalhar sob altas potências.
O crossover ativo já
necessita de uma fonte de alimentação externa, trabalha com sinal
de baixa intensidade, tem maior controle na atenuação
e pode ter as frequências de corte controladas mas fica mais
susceptível a ruídos.
Por trabalhar com sinais
de baixa intensidade não podemos ligá-los diretamente ao
falante sem o intermédio de um amplificador. Nesse caso teremos
que ter um amplificador para cada faixa de frequência dividida pelo
crossover como segue o esquema abaixo:
Podemos também
utilizar o crossover passivo para dividir a frequência entre midrange
e tweeter.
TENHO DÚVIDAS sobre esse artigo. Comente em nosso fórum.
| Mais Artigos - Procurar Artigos AutoSom.net - Todos os direitos reservados - cópia somente mantendo autoria e procedência |
AutoSom.net
© | 1997/2021 | Copyright, Direitos Reservados | http://autosom.net | Contato |